
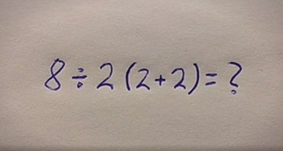
Naizgled jednostavan matematički zadatak uspio je podijeliti ljude na internetu ali i matematičare. Problem je u tome što je moguće dobiti dva rezultata u zavisnosti od toga kojim redoslijedom se izvršavaju operacije.
Oglas
Rješenje zadatka može da bude jedan ili 16, a zavisi od toga da li se prvo množi broj ispred zagrade sa rezultatom iz zagrade ili se računske radnje vrše hijerarhijski, rješavanjem zagrade zatim redom dijeljenje i množenje.
Matematičari su takođe podijeljeni oko toga da li zagrade imaju prednost pri rješavanju zadataka.
Program N1 televizije možete pratiti UŽIVO na ovom linku kao i putem aplikacija zaAndroid|iPhone/iPad
Kakvo je tvoje mišljenje o ovome?
Učestvuj u diskusiji ili pročitaj komentare
Oglas
Kakvo je tvoje mišljenje o ovome?
Učestvuj u diskusiji ili pročitaj komentare
Oglas