Pročitajte spisak: Ovo su najveći donatori HDZ-a
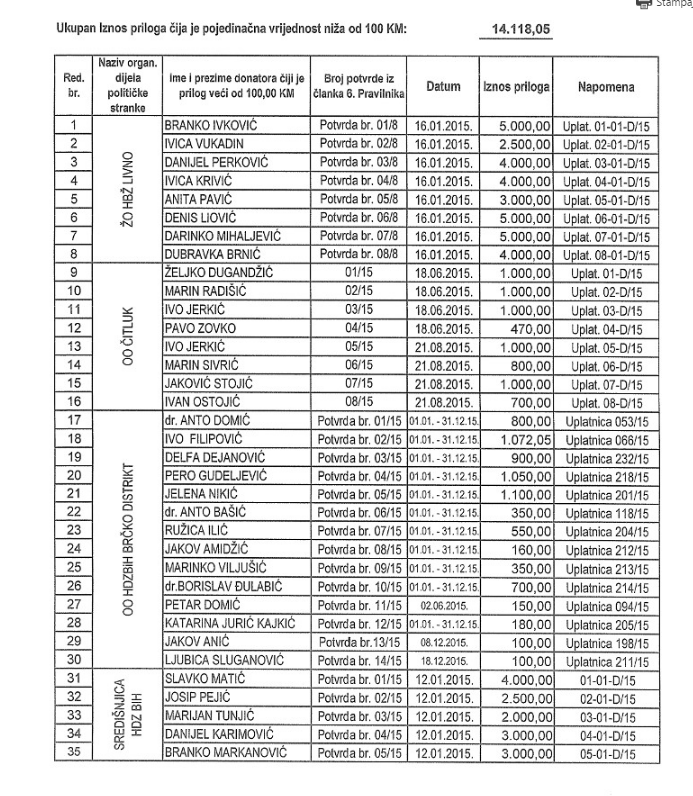
Hrvatska demokratska zajednica veliki dio stranačkog budžeta u 2015. godini popunila je donacijama fizičkih lica.
Oglas
Sredstva su to koja stranka koristi za tekuće troškove, a iznosi koji dolaze od pojedinačnih donatora su različiti.
HDZ je jedna od stranaka s najvećim brojem donatora, a u nastavku vam donosimo spisak svih evidentiranih pojedinačnih donacija za period 2015. godine.
Podsjećamo, ranije ste na N1 mogli pogledati spisak uplata po istom osnovu i za Stranku demokratske akcije.
Oglas
N1 pratite putem aplikacija za Android | iPhone/iPad i društvenih mreža Twitter | Facebook.
N1 | N1
Više
N1 | N1
Više
N1 | N1
Više
N1 | N1
Više
N1 | N1
Više
N1 | N1
Više
N1 | N1
Više
N1 | N1
Više
Kakvo je tvoje mišljenje o ovome?
Učestvuj u diskusiji ili pročitaj komentare
Oglas
Kakvo je tvoje mišljenje o ovome?
Učestvuj u diskusiji ili pročitaj komentare
Oglas
NAJČITANIJE
Oglas
Oglas
Najnovije
Oglas
Oglas