Oglas

Ministarstvo odbrane BiH prodaje desetine automobila

author
Emir Aletić
27. okt. 2016. 17:33
>
17:39
2015-05-01T014927Z_782074606_GF10000079399_RTRMADP_3_TESLA-MOTORS
Reuters | Reuters

Ministarstvo odbrane Bosne i Hercegovine objavilo je Javni poziv za prodaju službenih motornih i rashodovanih vozila koje je proteklih godina koristilo ovo Ministarstvo i Oružane snage BiH.

Oglas

Prodaja će se vršiti metodom prikupljanja zatvorenih pisanih ponuda, a pravo učešća imaju sva fizička i pravna lica koja uplate deset posto od ukupne procijenjene početne vrijednosti vozila.

Pravo učešća nemaju uposlenici Ministarstva i članovi njihovih porodica, a vozila se svakodnevno mogu pogledati u periodu od 10 do 14 sati na lokaciji kasarne Rajlovac u Sarajevu. Upute za slanje ponude mogu se pronaći na zvaničnoj web prezentaciji Ministarstva odbrane BiH, a poziv je otvoren do 14. novembra.

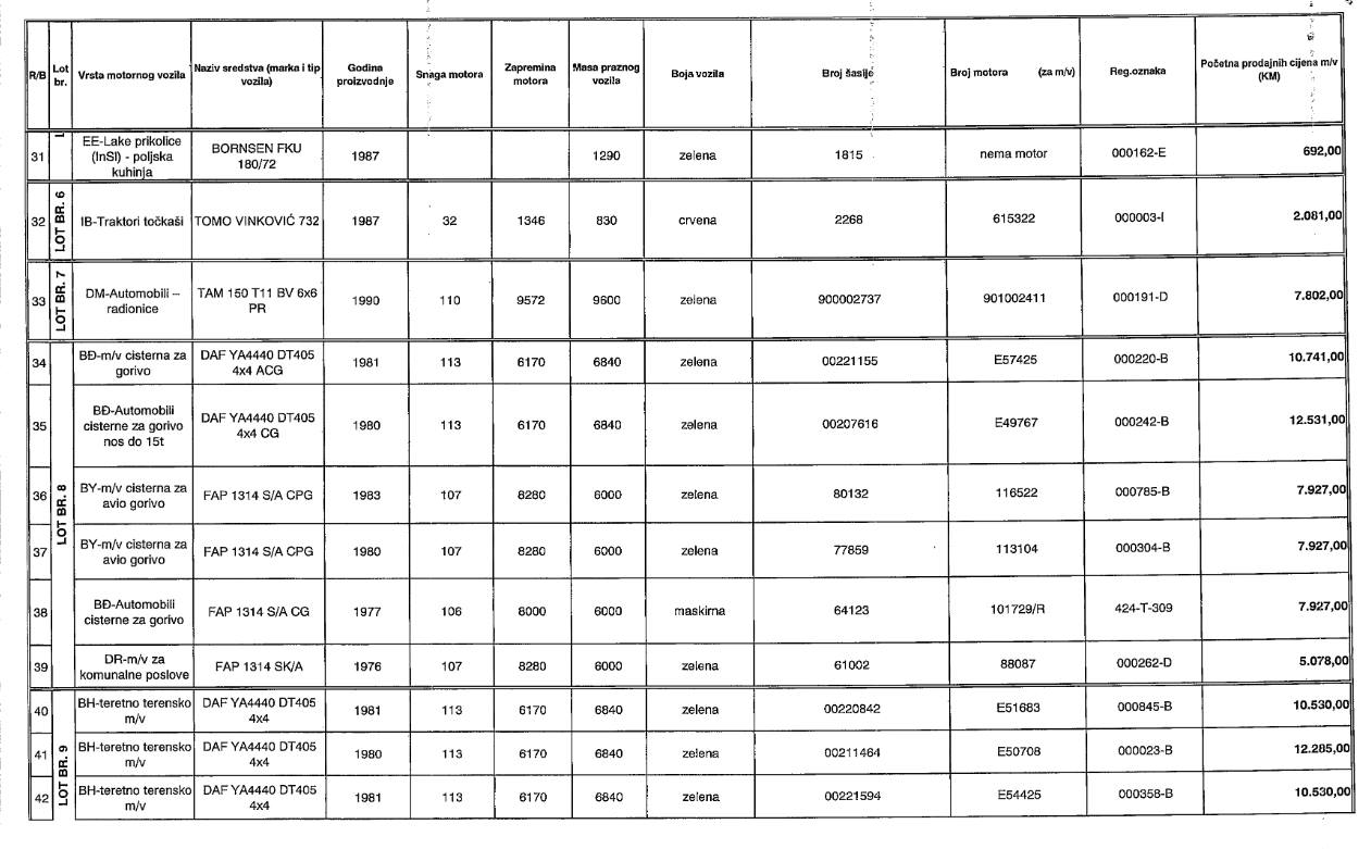
U širokoj ponudi na popisu vozila mogu se naći putnička vozila, autobusi, traktori, prikolice, cisterne... U nastavku pogledajte kompletnu listu vozila koje Ministarstvo prodaje, njihove karakteristike i početne cijene koje su, utisak je, iznimno povoljne.

Oglas

N1 pratite putem aplikacija za Android | iPhone/iPad i društvenih mreža Twitter | Facebook.

3
4
2
+ 1

Više tema kao što je ova?

Kakvo je tvoje mišljenje o ovome?

Učestvuj u diskusiji ili pročitaj komentare

Pratite nas na društvenim mrežama