Oglas

Sarajevska policija prodaje više od 50 automobila, cijene iznimno povoljne

author
N1 BiH
05. jul. 2019. 14:02
>
14:12
parking-825371_960_720
Pixabay | Pixabay

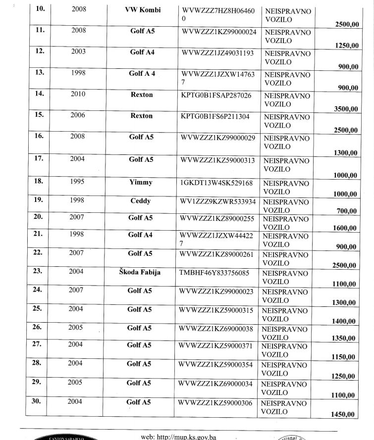
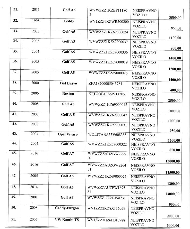
Ministarstvo unutrašnjih poslova Kantona Sarajevo objavilo je licitaciju za prodaju motornih vozila nakon Odluke Skupštine Kantona.

Oglas

Radi se ukupno 52 vozila, a licitacija će biti organizovana po sistemu usmenog nadmetanja. Automobili su uglavnom starijeg datuma proizvodnje, a pravo učešća u licitaciji imaju sva pravna i fizička lica osim zaposlenika MUP-a, a koja 12. jula tekuće godine do 12 sati uplate kauciju u vrijednosti deset posto od početne cijene.

Prodaja će biti održana istog dana s početkom od 14 sati na Poligonu Butmir kod Sarajeva. Zainteresovane osobe automobile mogu pogledati dan ranije od 10 sati na istom mjestu.

Iz MUP-a je saopćeno da se radi o vozilima koja se ne mogu koristiti zbog starosti, neispravnosti ili oštećenja prouzrokovanih u saobraćajnim nezgodama i čija popravka nema ekonomske opravdanosti.

Oglas

U nastavku pogledajte o kojim vozilima se radi i koja je njihova cijena.

Strogo je zabranjeno preuzimanje sadržaja, vijesti, videa ili fotografija bez dozvole. Program N1 televizije možete pratiti UŽIVO na ovom linku kao i putem aplikacija za Android|iPhone/iPad

4
3
2
+ 1
Više tema kao što je ova?

Kakvo je tvoje mišljenje o ovome?

Učestvuj u diskusiji ili pročitaj komentare

Pratite nas na društvenim mrežama