
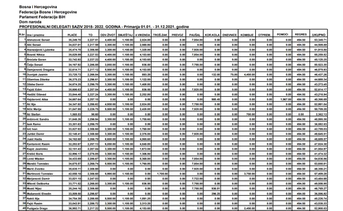
U objavljenom zvaničnom izvještaju navedeno je da su delegati Doma naroda u parlamentu Federacije Bosne i Hercegovine u protekloj godini dana, tačnije od 1. januara do 31. decembra 2021. godine zaradili 2,2 miliona KM, tačnije 2.235.913 KM. Taj novac se odnosi na njihove plate, odvojeni život, paušal, komisije, regres, dncenice, prijevoz, smještaj, vikendice, topli obrok.
Oglas
Riječ je o 56 delegata koja su, prema informacijama iz ovog izvještaja po jednoj sjednici zarađivali više od 5.000 KM.
Kada je riječ o primanjima, Tomislav Martinović iz HDZ-a, predsjedavajući Doma naroda je u 2021. godini najviše zaradio tako da mu je ukupno isplaćeno 57.409 KM na osnovu svih gore pobrojanih stavki. Dakle, isplaćeno mu je 42.058 KM na osnovu plata te još 15.351 KM naknada.
Odmah iza njega je Mladen Lonić iz SDP-a koji je inkasirao 954.836 KM u prošloj godini, dok je njegov stranački kolega Dragan Stevanović (SDP) najmanje zaradio pa mu je tako u protekloj godini isplaćeno 1.554 KM na osnovu plata i paušal od 319,36 KM.
Drago Puzigaća, samostalni delegat je također bio jedan od onih koji je prošle godine zaradio popriličnu sumu novca, pa mu je tako ukupno isplaćeno 52.908 KM uz sve naknade. Iza njega po primanjima je i Marija Iličić iz HDZ-a koja je u protekloj godini uz sve naknade ukupno zaradila 50.709 KM.


Svi ostali delegati su također u prosjeku zarađivali ukupno od 40.000 pa do 50.000 KM.
Ukoliko bi se sabrale sve gore navedene stavke, važno je istaći da je samo na odvojeni život delegata utrošeno iz budžeta 163.095 KM, ali uz napomenu da postoje zaista i oni koji dolaze iz brojnih krajeva Federacije BiH.
Dalje je za paušal uplaćeno 137.137 KM, a za smještaj 42.100 KM.
Na regres je "otišlo" 23.736 KM, dok je za plaćene vikende uplaćeno 86.475 KM. Tu su još korištenje službenih automobila (5.411 KM), zatim, topli obrok (110.260 KM), komisije (5.851 KM), dnevnice (87,50 KM) i ostali troškovi pa kada se sve sabere dobije se cifra nešto veća od 2,2 miliona KM koja je u protekloj godini uplaćena na račun federalnih delegata.
Ništa ne bi bilo sporno u ovim platama i brojkama da su federalni delegati bili ažurni protekle godine u zasijedanju s obzirom na to da je prema statistici, Dom naroda Parlamenta FBiH održao samo sedam sjednica uzimajući u obzir da su se ostale sazvane često prekidale ili nisu održavale.
To se može najbolje uočiti ukoliko se uzme u obzir dnevnik sazivanja sjednica, pa se tako na službenoj stranici Parlamenta FBiH može uočiti da su proteklu godinu počeli sazivanjem 8. redovne sjednice, a završili je 15. redovnom sjednicom koja je održana polovinom decembra.
Program N1 televizije možete pratiti UŽIVO na ovom linku kao i putem aplikacija za Android|iPhone/iPad
Kakvo je tvoje mišljenje o ovome?
Učestvuj u diskusiji ili pročitaj komentare
Oglas
Kakvo je tvoje mišljenje o ovome?
Učestvuj u diskusiji ili pročitaj komentare
Oglas