Oglas

Kako su rasle cijene gasa u BiH

author
N1 BiH
16. maj. 2019. 16:19
>
16:26
bh-gas | bh-gas

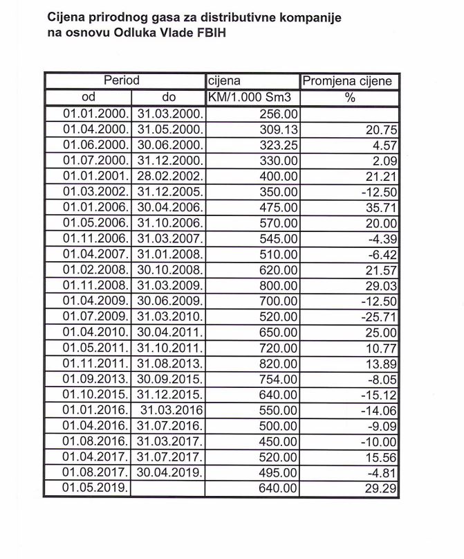
Iz BH-Gasa je stiglo saopštenje u vezi veleprodajnih cijena prirodnog gasa prema distributivnim kompanijama počev od 1. januar 2000. do 1. maja 2019. godine, koje su se mjenjale u skladu sa Odlukama Vlade FBiH.

Oglas

Navedeni pregled se dostavlja kako bi javnost mogla analizirati kretanje veleprodajne cijene i uočiti da je maksimalna cijena po kojoj je BH-Gas isporučivao prirodni gas distributivnim kompanijama iznosila 820 KM/1.000 Sm3 i to u periodu 01. 11. 2011. do 31.08.2013. godine. Istovremeno, najveće procentualno povećanje veleprodajne cijene je bilo 01.01.2006. godine u iznosu od 35,71 %.

"Imajući u vidu izjave raznoraznih stručnjaka, institucija, udruženja, vijeća i ostalih ne možemo se oteti utisku da isti davanjem netačnih izjava u medijima stvaraju negativnu sliku kako će kompletna privreda propasti, a u isto vrijeme niko od “stručnjaka” nije prezentovao niti jednu činjenicu da je neki od privrednih subjekta, sa cijenom od 820 KM/1.000 Sm3 propao, jer prirodni gas je i sa tom cijenom bio konkurentan u odnosu na ostale energente", ističu u saopštenju.

Navode kako BH-Gas još jednom želi da ponovi da je prjedlog koji je upućen resornim ministarstvima isključivo baziran na ruskom povećanju cijene prirodnog gasa i da nikakvih drugih uticaja na predloženo povećanje nije bilo. BH-GAS je suočen sa drastičnim gubicima u poslovanju i doći će u situaciju da neće moći izmirivati fakture prema ruskom isporučiocu Gazpromu, ali ne zbog svojih troškova ili bilo kakvih dugova, već isključivo iz razloga što mjesecima prodaje prirodni gas ispod cijene koštanja tačnije, prodaje prirodni gas po nižoj cijeni od one po kojoj se prirodni gas nabavlja i transportuje do potrošača.

Oglas

Naglašavaju da BH-Gas izražava svoje žaljenje zbog netačnih, neistinitih, zlonamjernih i spinovanih informacija raznih stručnjaka na koje BH-Gas nema namjeru trošiti vrijeme niti demantovati obzirom da je samo jedna istina, te da je na rast ruske cijene prirodnog gasa uticao porast cijena nafte i naftnih derivata što javnost može jasno vidjeti na benzinskim pumpama.

gas-cijene-244748.jpeg
N1 | N1

Program N1 televizije možete pratiti UŽIVO na ovom linku kao i putem aplikacija za Android|iPhone/iPad

Više tema kao što je ova?

Kakvo je tvoje mišljenje o ovome?

Učestvuj u diskusiji ili pročitaj komentare

Pratite nas na društvenim mrežama